Abstract
MODal ENergy Analysis (MODENA) is an energy-based method, which is proposed to deal with vibroacoustic problems. The performance of MODENA on the energy analysis of a mechanical system under spatially correlated excitation is investigated. A plate/cavity coupling system excited by a pressure field is studied in a numerical example, in which four kinds of pressure fields are involved, which include the purely random pressure field, the perfectly correlated pressure field, the incident diffuse field, and the turbulent boundary layer pressure fluctuation. The total energies of subsystems differ to reference solution only in the case of purely random pressure field and only for the non-excited subsystem (the cavity). A deeper analysis on the scale of modal energy is further conducted via another numerical example, in which two structural modes excited by correlated forces are coupled with one acoustic mode. A dimensionless correlation strength factor is proposed to determine the correlation strength between modal forces. Results show that the error on modal energy increases with the increment of the correlation strength factor. A criterion is proposed to establish a link between the error and the correlation strength factor. According to the criterion, the error is negligible when the correlation strength is weak, in this situation the correlation strength factor is less than a critical value.

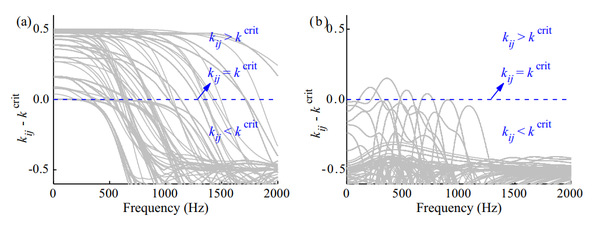
Fig. The differences of the correlation strength factors and the critical correlation strength factors when the plate is excited by (a) the IDF load or (b) the TBL load.
原文链接:https://doi.org/10.1016/j.ymssp.2018.03.063


